PowerCell este acum implicat în proiectul H2MAC , o inițiativă de patru ani finanțată de Uniunea Europeană, care are ca scop...
An: 2024
În contextul creșterii cererii globale de alimente și implicit de materiale de ambalare, cercetările recente se concentrează...
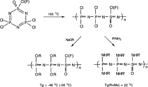
Cercetătorii au sulfurat o rețea de polimer hibrid cu polifosfazen și carbon pentru a fi utilizată ca catod pentru...
LONGi Green Energy Technology (denumită în continuare LONGi) a anunțat oficial un nou record mondial pentru eficiența...
Stellantis a dezvăluit tehnologia sa inovatoare Moving Ground Plane (MGP) – o investiție de 29,5 milioane de dolari –...
Cercetătorii de la Institutul de Tehnologie Karlsruhe (KIT) au creat un sistem agil de producție a celulelor bateriei. Folosind...
Producătorii de automobile din cea mai mare economie din Asia au livrat luna trecută 60.517 de vehicule...
Producătorii de automobile chinezi produc 21 la sută din vehiculele de pasageri din lume — o cifră...
Mercedes-Benz a deschis prima fabrică de reciclare a bateriilor din Europa cu un proces mecanic-hidrometalurgic integrat, făcându-l primul producător...
Prin fuzionarea unei perechi de structuri moleculare contorsionate, cercetătorii de la Cornell au creat un cristal poros care poate...
Данные литеры — это не просто уменьшенные шрифтом или стилями копии обычных букв. Это отдельные символы Юникода,...
Într-o mișcare inovatoare, firma japoneză de electronice Sharp a dezvăluit recent un concept de van complet electric,...
